FAYETTEVILLE PUBLIC SCHOOLS FINALLY HAND OVER RECORDS REGARDING TERMINATION OF MATTHEW WENDT

FAYETTEVILLE PUBLIC SCHOOLS FINALLY HAND OVER RECORDS REGARDING TERMINATION OF MATTHEW WENDT


THE LONG SOUGHT RECORDS ARRIVED VIA OVERNIGHT FEDEX FROM FPS


The outside council for the Fayetteville Public School district barely avoided violating a court order to turn over records.



You can view all the 630 pages of documents they sent by clicking here for part 1 and here for part 2.

This is a video that contains all the footage from a FPS CCTV system that was used in the termination of superintendent Matthew Wendt.



This video contains voicemail messages Wendt left Shae Newman, his subordinate and adulterous lover.




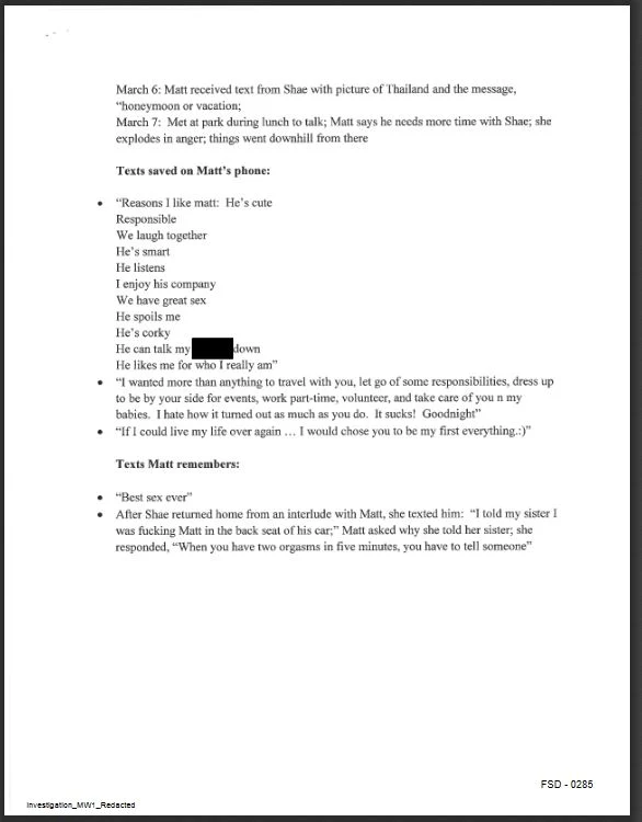
According to the records, Wendt and Newman spent a great deal of time making calls and sending text message back and forth all day long.




Here are some of the text messages of the pair once their relationship soured.










The records released also detail funds and lavish gifts Wendt gave to Newman and assistance Wendt gave to Newman's sister.  It also details the nature and frequency of their sexual relationship - from the backseat of cars in parking lots to lovers retreat in New York city.






It's also clear that Newman was a far more willing participant than she claims she was. 

A woman scorned.... 

No comments

You are welcome to email your tips, corrections and/or comments to: aidcommission@gmail.com please indicate if you wish to remain anonymous or otherwise. We will post your comment without edit.

Powered by Blogger.